Fem_四节点完全积分平面应力单元PS4

-
节点自由度:ux,uy
-
单元自由度:\(\delta^e=[u1x,u1y,....u4x,u4y]^T\)
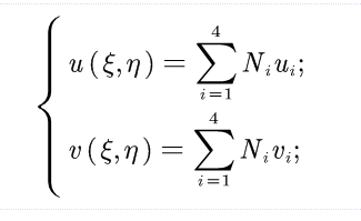
位移插值

几何插值

单元形函数

应变-位移关系

应力-应变关系

雅可比矩阵计算\(J(\xi,\eta)\)


最小势能原理推到单元刚度矩阵

高斯积分计算单元刚度矩阵

体积力等效为节点力

单元质量矩阵

surface stress force 加载等效为节点力
对于一个PS4单元,假设有s条单元边收到单元表面力的作用。所以整个单元的等效节点力\(F_{trac}^e\)为:



对于局部坐标s有:

以 表面力P作用在3-4 edge为例子:
