Note_Fem_C3D8I单元格式
COD8I单元是在C3D8基础上修改而来,因此就不完整推导了,只给出关键地方。主要的思路就是在每个坐标方向增加二次项,来消除剪切自锁。虽然这样会导致单元边上的位移场不连续。
单元几何

单元使用八节点,每个节点有三个平移自由度; 局部坐标使用(r,s,t)坐标系,r,s,t取值范围-1到+1;使用等参数单元推导刚度矩阵

- 积分点布置(abaqus)

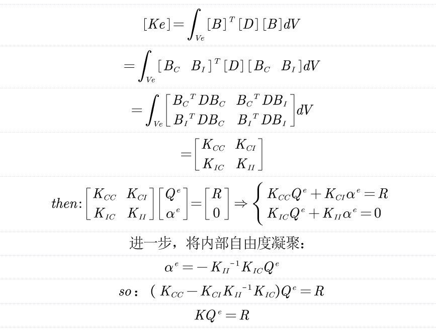
单元刚度矩阵
节点形函数为,ri,si,ti是节点i的(r,s,t)坐标值:

几何插值与C3D8一样:



位移场插值【修正】:

应变分量推导【修正】:


单元刚度矩阵Ke【修正】:

数值积分参见C3D8的方法
完全积分方案:每个方向上使用2个积分点进行积分,满足精确积分,共有8个积分点进行数值积分。
其余部分都和C3D8单元一致。
总结
C3D8I单元使用了wilson非协调位移模式来修正剪切闭锁;使用b-bar选择性积分技术来修正体积自锁。