Note_Fem_基尔霍夫板理论
本文为学习笔记,只记录重点内容,详细过程自行查找资料
1. 问题描述
对于长厚比比较大的薄板,在厚度方向收到分布的垂直载荷p(x,y),要求板的形变及应力.
p(x,y)也可以称为横向载荷

2. Kirchhoff假设
提出了如下假设:
- 厚度正应变为0;
- 产生的应变不计;
- 中面各点不产生面内位移,即;
进一步,上述假设可以表述为:

由上可定义位移向量为:

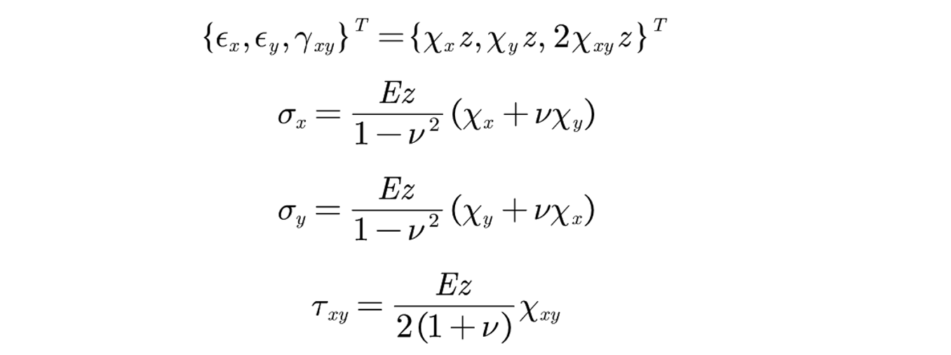
根据应变定义有:

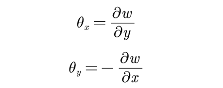
根据转角为挠度一阶导数的定义可知:

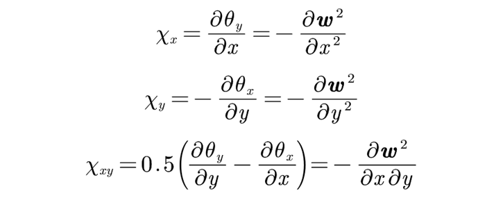
进一步,曲率和扭曲率的定义为:

从医上可以就看出,应变和应力都可以用扭曲率来表示:

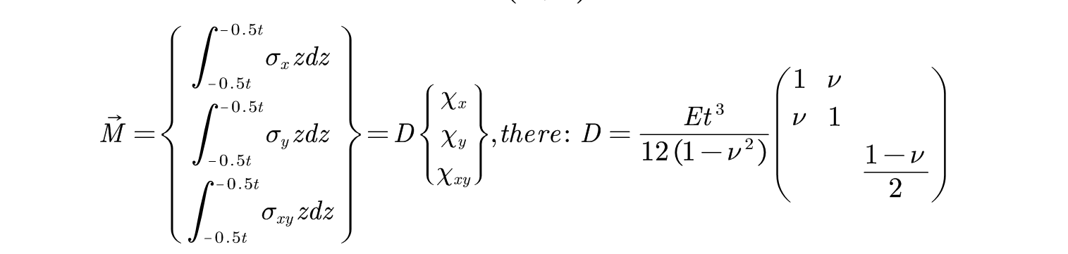
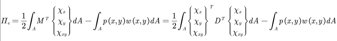
再进一步,根据应力在厚度上的积分,可以计算得到薄板力矩向量(合力):

此时,薄板单元的总势能(应变能-外力做的功)可以表示为:

根据以上推导,薄板单元的刚度矩阵Ke是可以求出的.