Fem_Wilson非协调单元在PS4的推导

Ps4单元的位移自由度:
-
节点自由度:ux,uy
-
单元自由度:\(\delta^e=[u1x,u1y,....u4x,u4y]^T\)
但是在承受弯曲载荷的时候,存在shear locking的问题。Wilson非协调单元通过在每个坐标方向上增加2个内部自由度,解决该问题:

位移插值

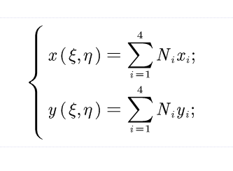
几何插值

单元形函数

应变-位移关系


应力-应变关系

雅可比矩阵计算\(J(\xi,\eta)\)


最小势能原理推到单元刚度矩阵
以下是PS4单元的刚度矩阵推导:

加入wilson内部自由度后,由于内部自由度不会影响外力功,因此只有修改单元刚度矩阵部分:

进一步,将内部自由度凝聚:

所以,Wilson非协调单元的刚度矩阵为:

高斯积分计算单元刚度矩阵

体积力等效为节点力

单元质量矩阵

surface stress force 加载等效为节点力
对于一个PS4单元,假设有s条单元边收到单元表面力的作用。所以整个单元的等效节点力\(F_{trac}^e\)为:



对于局部坐标s有:

以 表面力P作用在3-4 edge为例子:
