Note_Fem_C3D4单元公式
细节不在赘述
单元全局刚度矩阵\(K^e\)

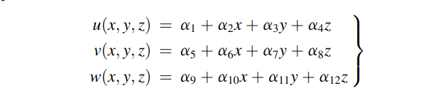
上图中,节点自由度为u,v,w;位移场在单元内陷性分布:

使用四节点的等参元进行推导,参数坐标如下:

形函数如下:

位移插值形式:

几何插值形式:

应变分量定义:


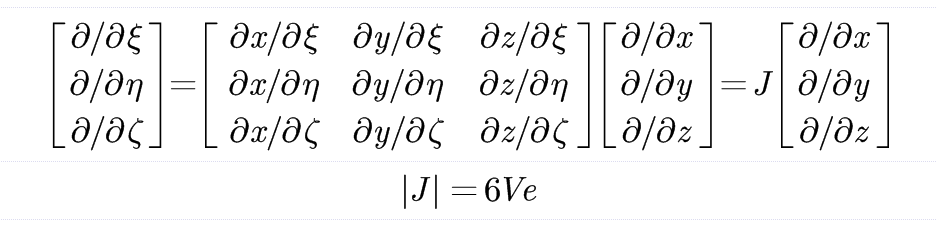
雅可比关系式:

带入几何插值关系后得到:

可以看出,J是一个常数矩阵
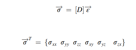
应力分量:

如果采用各项同性材料,那么D为:

全局坐标系下的刚度矩阵\(K^e\),借助hammer积分可得:


在这单元中,位移模型是线性的,单元间的位移连续性自动满足。
全局坐标下的单元质量矩阵\(M^e\)
因为N矩阵是在全局坐标系下的,所以积分之后直接得到了全局坐标下的单元质量矩阵:

经过长长的积分后,建议用matlab或者sympy的符号计算进行计算:

等效节点力计算公式
假设C3D4单元可以受到均匀温度加载,均布体力加载,以及均匀分布力加载;
假设:
1. 单元温度为T,热膨胀系数为\(\alpha\)
2. 单元收到体力\(\vec{\bar{\phi}},(N/m^3)\):
3. 单元在单元面\(S_{ijk}\)上受到分布力\(\vec{\bar{\Phi}},(N/m^2)\)


因此,单元的等效节点力为:


静力分析问题公式
由C3D4组成的系统的静力分析问题,可以归结为求解下列公式,可以得到节点位移\(\{Q\}_{N\times1}\):
\[
\sum_i^{el\ num} \{K^e \}_{N \times N}\{Q\}_{N \times 1}=\sum_i^{el\ num} P^e_{N \times 1}
\]
动力分析问题公式
由C3D4组成的系统的动力分析问题,可以归结为求解下列公式,可以得到节点位移,速度,加速度随时间的变化:
\[
\sum_i^{el\ num} \{M^e \}_{N \times N}\{\ddot{Q}\}_{N \times 1}+\sum_i^{el\ num} \{C^e \}_{N \times N}\{\dot{Q}\}_{N \times 1}+\sum_i^{el\ num} \{K^e \}_{N \times N}\{Q\}_{N \times 1}=\sum_i^{el\ num} P^e_{N \times 1}
\]
模态分析问题公式
由C3D4组成的系统的模态分析问题,可以归结为求解下列公式,可以得到节点位移振型和对应特征值:
\[
(\sum_i^{el\ num} \{K^e \}_{N \times N}-\omega^2\sum_i^{el\ num} \{M^e \}_{N \times N})\{Q\}_{N \times 1}=\{0\}
\]
参考资料:
- 工程中的有限元法(Rao version)