杆类结构的单元有:桁架,梁,框架
truss单元只能抵抗轴向的力,发生轴向拉压变形,不能抵抗弯矩和横向载荷.truss假设节点链接方式是:Pin-jointed.因此,节点自由度: 1) UX,UY(2d analysis) ; 2) UX,UY,UZ(3d analysis)
frame的分析中,假设单元节点链接方式是Rigidly jointed. 所以节点自由度包括平动和转动自由度.节点自由度为:1)UX,UY,UZ,URX,URY,URZ(3d dimension);2)UX,UY,URX(2d dimension)
本文是对<工程中的有限元 英文版 Rao edition> 的摘要.如果英文版看不懂,可以参考:
Matlab有限元结构动力学分析与工程应用_徐斌_高跃飞_余龙编著这本书的对应内容
空间桁架单元-truss
单元刚度矩阵
详见<工程中的有限元-英文版>(rao edition) page-331

单元局部坐标系下的刚度矩阵:

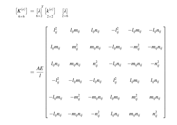
自由度转换关系(矢量分解原理):

因此空间桁架的全局坐标下的刚度矩阵为:

等效节点力
其中的体积力表示的是在单元局部坐标系下单位体积在12方向的力,而不是全局坐标下的三个分量.

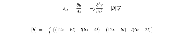
轴向应力应变

全局单元质量矩阵
一致质量矩阵

集中质量矩阵(abaqus使用的类型)
集中质量矩阵意思就是,在每个平移/转动自由度上,把总质量(\(\rho*V\))平均分到每个节点.
如果忽略转动惯量,那么转动自由度的对应为0;

特别的.平面桁架单元
两种质量矩阵为:

梁单元
梁是一种主要承受横向载荷的直线杆件。
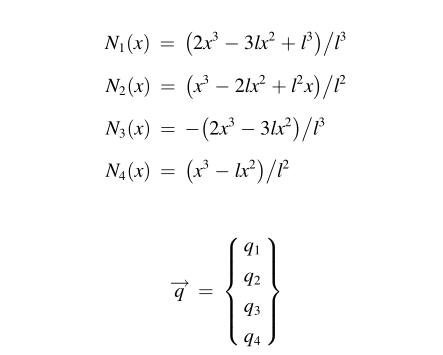
位移假设
局部坐标下的自由度:每个节点有UY和转角d(UY)/dx



刚度矩阵
单元局部坐标系下的刚度矩阵为:



等效节点力
- 受横向均布载荷P0(N/m)


应力分布

局部坐标系下单元刚度矩阵

空间框架单元
位移假设
空间框架单元是一种具有均匀截面的直杆,能够承受轴力、绕其横截面平面上的两个主轴的弯矩,以及绕其质心轴的力矩。具有十二个节点自由度.
选择将==局部xyz坐标系与代表框架单元质心轴的x轴的横截面主轴重合==。因此,位移可以分为四组,每组都可以独立考虑。首先考虑不同独立位移集对应的刚度矩阵,然后通过叠加得到单元的总刚度矩阵。
SAP2000的默认局部坐标轴:

框架单元的自由度和坐标系:


Axial Displacements
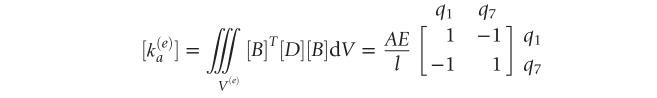
只看轴向位移时,那就是一维轴向拉压杆.刚度矩阵:

Torsional Displacements
假定节点绕局部x轴的转角\(\theta_x\)是线性变化的.则:

刚度矩阵:

Bending Displacements in the Plane xy
此时可以看作是x_y面内的梁单元,刚度矩阵为:

q2,q8代表节点处的UY;q6,q12代表节点URZ
Bending Displacements in the Plane xz
和上一个同理,也可以看作梁单元.
q3,q9: 节点UZ; q5,q11:节点URY

局部坐标系的单元刚度矩阵
将上面四个子矩阵装配之后,可得.

全局坐标系的单元刚度矩阵
自由度转换关系:




U1~UR3在不同坐标系之间的转换关系推导过程见<工程中的有限元 英文版>(rao edition)的355页
特殊: 2d平面中的框架单元.
此时,节点自由度退化为3个.例如,frame放在XZ面内.那么只有U1,U3,UR2的节点自由度.也因此,他的局部单元刚度矩阵只要从上面的12*12矩阵删去2,4,6,8,10,12对应的行和列就行:

依旧将刚度矩阵转换到全局坐标系下:


特殊: Beam Element (as a Special Case of Space Frame Element)
同理,


全局坐标系下的质量矩阵
先要找出局部坐标系啊下的单元质量矩阵:
- 一致质量矩阵
由于之前使用的是欧拉-伯努利梁假设,所以:

这里的N矩阵是关于局部坐标轴x的函数
- 集中质量矩阵
这里可以发现,UR1的转动惯量不可忽略.这从一致质量矩阵也可以看出,一致质量矩阵UR2,UR3位置均没有J,所以集中质量矩阵也不忽略.

然后通过坐标转换矩阵\([\lambda]\)来得到全局坐标系下的质量矩阵.
平面框架单元.
如果把空间框架放在XZ或X平面下.局部坐标系下的单元集中质量矩阵都忽略转动惯量.以XY框架为例:
